
๐ก solutions
๐ฌ ์ต๋จ ๊ฑฐ๋ฆฌ ๋ก์ง์ ์ํด BFS ์๊ณ ๋ฆฌ์ฆ์ผ๋ก ๊ตฌํํ๋ค. -> deque ์๋ฃ๊ตฌ์กฐ ์ฌ์ฉ
๐ฌ visit ๋ฐฐ์ด์ ๊ฐ์ง๊ณ ๋ฐฉ๋ฌธํ๋์ง ํ์ธํจ๊ณผ ๋์์ 1๋ถํฐ ํด๋น ๋ ธ๋๊น์ง์ ๊ฑฐ๋ฆฌ๋ฅผ ์ ์ฅํ๋ค.
๐จ๐ป code
from collections import deque
def solution(n, edge):
adj = [[] for _ in range(n+1)]
visit = [0] * (n+1)
for a, b in edge:
adj[a].append(b)
adj[b].append(a)
visit[1] = 1
q = deque([1])
while q:
x = q.popleft()
for next in adj[x]:
if not visit[next]:
visit[next] = visit[x] + 1
q.append(next)
max_v = max(visit)
cnt = visit.count(max_v)
return cnt if cnt > 0 else 1
๐ problem
์ฝ๋ฉํ ์คํธ ์ฐ์ต - ๊ฐ์ฅ ๋จผ ๋ ธ๋
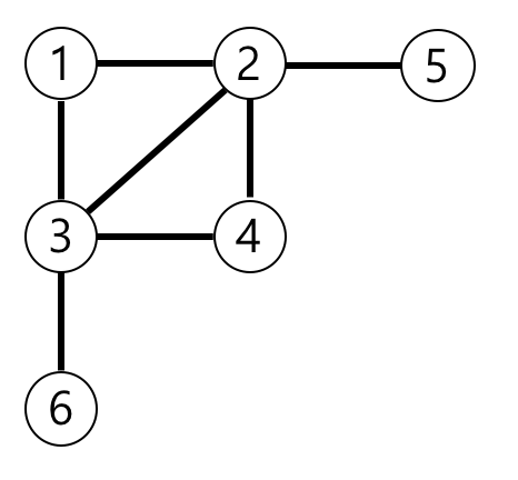
6 [[3, 6], [4, 3], [3, 2], [1, 3], [1, 2], [2, 4], [5, 2]] 3
programmers.co.kr
๋ฌธ์ ์ค๋ช
n๊ฐ์ ๋ ธ๋๊ฐ ์๋ ๊ทธ๋ํ๊ฐ ์์ต๋๋ค. ๊ฐ ๋ ธ๋๋ 1๋ถํฐ n๊น์ง ๋ฒํธ๊ฐ ์ ํ์์ต๋๋ค. 1๋ฒ ๋ ธ๋์์ ๊ฐ์ฅ ๋ฉ๋ฆฌ ๋จ์ด์ง ๋ ธ๋์ ๊ฐฏ์๋ฅผ ๊ตฌํ๋ ค๊ณ ํฉ๋๋ค. ๊ฐ์ฅ ๋ฉ๋ฆฌ ๋จ์ด์ง ๋ ธ๋๋ ์ต๋จ๊ฒฝ๋ก๋ก ์ด๋ํ์ ๋ ๊ฐ์ ์ ๊ฐ์๊ฐ ๊ฐ์ฅ ๋ง์ ๋ ธ๋๋ค์ ์๋ฏธํฉ๋๋ค.
๋ ธ๋์ ๊ฐ์ n, ๊ฐ์ ์ ๋ํ ์ ๋ณด๊ฐ ๋ด๊ธด 2์ฐจ์ ๋ฐฐ์ด vertex๊ฐ ๋งค๊ฐ๋ณ์๋ก ์ฃผ์ด์ง ๋, 1๋ฒ ๋ ธ๋๋ก๋ถํฐ ๊ฐ์ฅ ๋ฉ๋ฆฌ ๋จ์ด์ง ๋ ธ๋๊ฐ ๋ช ๊ฐ์ธ์ง๋ฅผ return ํ๋๋ก solution ํจ์๋ฅผ ์์ฑํด์ฃผ์ธ์.
์ ํ์ฌํญ- ๋ ธ๋์ ๊ฐ์ n์ 2 ์ด์ 20,000 ์ดํ์ ๋๋ค.
- ๊ฐ์ ์ ์๋ฐฉํฅ์ด๋ฉฐ ์ด 1๊ฐ ์ด์ 50,000๊ฐ ์ดํ์ ๊ฐ์ ์ด ์์ต๋๋ค.
- vertex ๋ฐฐ์ด ๊ฐ ํ [a, b]๋ a๋ฒ ๋ ธ๋์ b๋ฒ ๋ ธ๋ ์ฌ์ด์ ๊ฐ์ ์ด ์๋ค๋ ์๋ฏธ์ ๋๋ค.
| 6 | [[3, 6], [4, 3], [3, 2], [1, 3], [1, 2], [2, 4], [5, 2]] | 3 |
์์ ์ ๊ทธ๋ํ๋ฅผ ํํํ๋ฉด ์๋ ๊ทธ๋ฆผ๊ณผ ๊ฐ๊ณ , 1๋ฒ ๋ ธ๋์์ ๊ฐ์ฅ ๋ฉ๋ฆฌ ๋จ์ด์ง ๋ ธ๋๋ 4,5,6๋ฒ ๋ ธ๋์ ๋๋ค.
